Definición: La configuración en la que el colector es común entre el emisor y la base se conoce como configuración CC. En la configuración CC, el circuito de entrada se conecta entre el emisor y la base y la salida se toma del colector y el emisor. los coleccionista es común a los dos entrada y salida circuito y de ahí el nombre de conexión de colector común o configuración de colector común.

Índice de contenidos
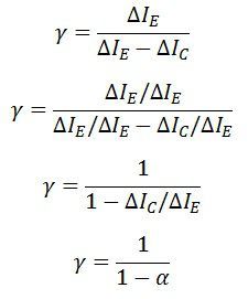
Factor de amplificador de corriente (Y)
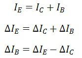
El factor de amplificación de corriente se define como la relación entre la corriente de salida y la corriente de entrada. En la configuración de emisor común, la corriente de salida es la corriente de emisor IE, mientras que la corriente de entrada es la corriente de base IB.
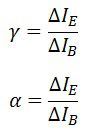
Por lo tanto, la relación entre el cambio en la corriente del emisor y el cambio en la corriente de base se conoce como factor de amplificación de corriente. Se expresa por la Y.
Relación entre Υ y α
los Y es el factor de amplificación actual de la configuración de colector común y el α es el factor de amplificación actual de la conexión de base común.
y,
Sustituyendo el valor de ΔIB en la primera ecuación anterior, obtenemos,
La relación anterior muestra que el valor de Y es casi igual a β. Este circuito se utiliza principalmente para la amplificación debido a que la resistencia de entrada es alta y la resistencia de salida es muy baja. La ganancia de voltaje de la resistencia es muy baja. Esta disposición de circuitos se utiliza principalmente para la adaptación de impedancias.
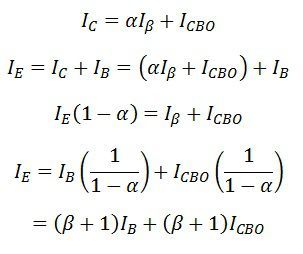
Colector de corriente
Lo sabemos,
Curva característica de entrada
La característica de entrada de la configuración del colector común se dibuja entre el voltaje de base del colector VCE y la corriente de base IB a un voltaje de corriente de emisor constante VCE. El valor de la tensión de salida VCE cambia con respecto a la tensión de entrada VBC e IB Con la ayuda de estos valores, se dibuja la curva característica de entrada. La curva característica de entrada se muestra a continuación.
Curva característica de salida
La característica de salida del circuito de emisor común se dibuja entre el voltaje de emisor-colector VEC y la corriente de salida IE a una corriente de entrada constante IB. Si la corriente de entrada IB es cero, entonces la corriente del colector también se vuelve cero y no fluye corriente a través del transistor.
El transistor opera en la región activa cuando la corriente de base aumenta y llega a la región de saturación. La gráfica se traza manteniendo constante la corriente de base IB y variando la tensión emisor-colector VCE, se notan los valores de corriente de salida IE con respecto a VCE. Al usar VCE e IE a IB constante, se dibuja la curva característica de salida.














