Definición: El instrumento que medidas los factor de almacenamiento o factor de calidad de lo electrico circuito en frecuencias de radio, este tipo de dispositivo se conoce como Q-meter. los factor de calidad es uno de parámetros de El sistema oscilatorioque muestra la relación Entre los almacenamiento y energÃa disipada.
El medidor Q mide el factor de calidad del circuito que muestra la energÃa total disipada por el mismo. También explica las propiedades de la bobina y el capacitor. El medidor Q se utiliza en un laboratorio para probar la radiofrecuencia de las bobinas.
Principio de funcionamiento del medidor Q
El medidor Q funciona en serie resonante. La resonancia es la condición que existe en el circuito cuando su inductancia y su reactancia capacitiva son de igual magnitud. Inducen energÃa que oscila entre el campo eléctrico y magnético del capacitor y el inductor respectivamente.
El Q-metro se basa en la caracterÃstica de la resistencia, inductancia y capacitancia del circuito en serie resonante. La siguiente figura muestra una bobina de resistencia, inductancia y capacitancia conectada en serie con el circuito.
A la frecuencia de resonancia f0,
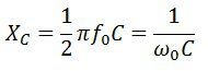
El valor de la reactancia de capacitancia es
En la reactancia inductiva,
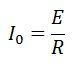
A la frecuencia de resonancia,
y la corriente en resonancia se convierte en
El diagrama fasorial de la resonancia se muestra en la figura.
El voltaje a través del capacitor se expresa como
Voltaje de entrada ![]()

La ecuación anterior muestra que el voltaje de entrada E es Q multiplicado por el voltaje que aparece en el capacitor. El voltÃmetro está calibrado para encontrar el valor del factor Q.
Aplicaciones del Q-metro
Las siguientes son las aplicaciones del Q-meter.
1. Medición de Q – El circuito utilizado para medir Q se muestra en la figura. 
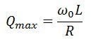
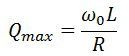
El oscilador y el condensador de sintonización se ajustan a la frecuencia deseada para obtener el valor máximo de E0. Bajo esta condición, el valor del factor de calidad se expresa como
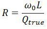
El valor verdadero se da como
El valor del factor de calidad se obtiene mediante el voltÃmetro que está conectado a través del condensador. El valor medido es el factor Q de todo el circuito y no solo de la bobina. Por lo tanto, se producen errores en la lectura debido a la resistencia de derivación y la capacitancia distribuida.
Las ecuaciones anteriores muestran que el valor medido de Q es menor que el valor real.
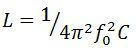
2. Medición de Inductancia – La inductancia se mide mediante la ecuación que se muestra a continuación.
El valor de f0 & C es necesario para calcular el valor de la inductancia.
3. Medición de la resistencia efectiva – La ecuación calcula el valor de la resistencia efectiva
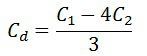
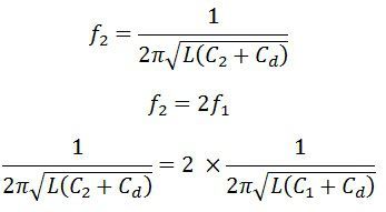
4. Medición de la autocapacitancia – La autocapacitancia se determina midiendo las dos capacitancias a diferentes frecuencias. El condensador se ajusta al valor alto y el circuito resuena ajustando la frecuencia del oscilador. La resonancia del circuito está determinada por el medidor Q.
Por lo tanto,
o capacitancia distribuida
5. Medida de Ancho de Banda – TLa siguiente ecuación calcula el ancho de banda
6. Medida de capacitancia – La capacitancia se determina conectando la bobina ficticia entre los terminales T1 y T2. Deje que el capacitor bajo prueba esté conectado a través de la terminal T3 y T4. El circuito vuelve a resonar variando el valor del condensador de sintonización C2. El valor de la capacitancia de prueba se determina restando C1 y C2.













